
作為軌道交通的重要組成部分,城市軌道橋梁在交通安全運營方面發揮著重要作用,為全面真實掌握軌道橋梁運營和安全性能狀況,提升橋梁養護與安全管理水平,需要對其進行定期檢查。軌道橋梁定期檢查的頻次應符合下列要求:
1、新建橋梁初期運營滿一年,應進行首次檢查;
2、根據前次定期檢查報告的建議,結合日常檢查結果確定下次定期檢查時間,定期檢查頻次不應低于每三年一次。
在進行軌道橋梁定期檢查時應注意:城市軌道交通線路上進行定期檢查的橋梁長度不應少于該線橋梁總長度的1/3;定期檢查后應進行技術狀況評價和行車影響評價。
一、評定原則
按照《城市軌道交通設施運營監測技術規范第2部分:橋梁》(GB/T 39559.2—2020)橋梁技術狀況評定的相關要求,采用考慮橋梁各部件權重的綜合評定方法或重要部件最差的缺損狀況對全橋總體技術狀況等級進行評定。評定流程:按照《城市軌道交通設施運營監測技術規范第2部分:橋梁》(GB/T 39559.2—2020)要求的評定方法對橋梁技術等級作出評定。該方法采用分層綜合評定與單項指標控制相結合的方法,評價工作流程如圖1所示。

圖1 橋梁技術狀況評價流程圖
二、評定方法
橋梁技術狀況評價方法按照《城市軌道交通設施運營監測技術規范第2部分:橋梁》(GB/T 39559.2—2020)中的相關內容進行。即橋梁技術狀況的評價應采用計權重的多項指標分層綜合評定的方法。分層綜合評定采用分值制進行。

表1 梁橋各構件(部件)權重值
|
結構類別 |
評價構件(部件) |
權重 |
|
上部結構 |
主梁 |
0.80 |
|
支座 |
0.20 |
|
|
下部結構 |
墩、臺 |
0.50 |
|
基礎 |
0.45 |
|
|
護錐、調治構造物 |
0.05 |
|
|
橋面系及附屬設施 |
伸縮縫 |
0.20 |
|
欄板(欄桿)、聲屏障等 |
0.30 |
|
|
橋面防排水 |
0.30 |
|
|
其他 |
0.20 |


|
對應最高標度值 |
實際標度值 |
||||
|
1類 |
2類 |
3類 |
4類 |
5類 |
|
|
3類 |
0 |
20 |
35 |
― |
― |
|
4類 |
0 |
25 |
40 |
50 |
― |
|
5類 |
0 |
35 |
45 |
60 |
100 |

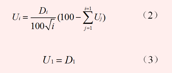
式中:
FBJ——部件技術狀況評價的分值,值域為0分~100分;
FGJ ——部件各構件的得分平均值,值域為0分~100分;FGJ min——部件中分值最低的構件得分值;
t——隨構件數量而變化的系數,按表3采用插值法取用。
表3 t值
|
m |
t |
m |
t |
m |
t |
m |
t |
m |
t |
|
1 |
∞ |
7 |
8.7 |
13 |
7.5 |
19 |
6.72 |
70 |
3.6 |
|
2 |
10 |
8 |
8.5 |
14 |
7.3 |
20 |
6.6 |
80 |
3.2 |
|
3 |
9.7 |
9 |
8.3 |
15 |
7.2 |
30 |
5.4 |
90 |
2.8 |
|
4 |
9.5 |
10 |
8.1 |
16 |
7.08 |
40 |
4.9 |
100 |
2.5 |
|
5 |
9.2 |
11 |
7.9 |
17 |
6.96 |
50 |
4.4 |
200 |
2.3 |
|
6 |
8.9 |
12 |
7.7 |
18 |
6.84 |
60 |
4.0 |
— |
— |

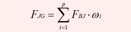
ωi——第i類構件(部件)的權重,見表1。


|
結構類別 |
權重 |
|
上部結構 |
0.45 |
|
下部結構 |
0.40 |
|
橋面系及附屬設施 |
0.15 |
三、單項控制指標
有下列情況之一的,評價單元應屬于5類橋:

四、橋梁技術狀況評價等級
依據單元總體技術狀況的分值,橋梁總體技術狀況評價等級見表5。
|
類別 |
分值 |
橋梁狀態 |
病害程度 |
評價結論 |
|
1類 |
95≤FDY≤100 |
好 |
無病害 |
正常使用,日常養護 |
|
2類 |
80≤FDY <95 |
較好 |
輕微病害 |
正常使用,需要小修 |
|
3類 |
60≤FDY <80 |
較差 |
中度病害 |
可正常使用,但需盡快進行維修 |
|
4類 |
40≤FDY <60 |
差 |
嚴重病害 |
影響正常使用,應進行專項檢查 |
|
5類 |
0≤FDY <40 |
很差 |
特別嚴重病害 |
停止使用 |
注:FDY為評價單元總體技術狀況分值。
©版權所有:中鋼集團鄭州金屬制品研究院股份有限公司 地址:河南省鄭州市高新技術產業開發區化工路172號 | 免責聲明 豫ICP備09000825號-3